搜索"8090网页游戏"《哪吒战杨戬》春节庆典
l 活动时间2018年2月12日 ~ 2018年2月21日
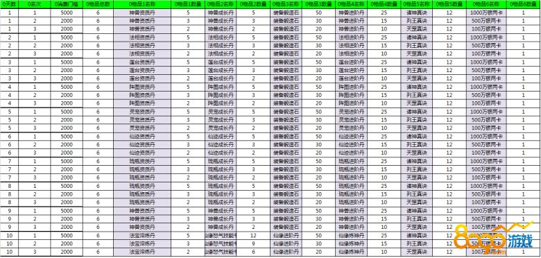
l 登陆豪礼
春节庆典期间,根据VIP等级玩家每天登录即可轻松领取奖励,VIP12可领取以下全部奖励,非常划算哦~

奖励配置

l 单笔充值
活动期间内,每日单笔充值达到一定额度即可领取奖励,单笔充值达成奖励可重复领取哦

奖励配置

l 累充超值商城
活动期间,累计充值达到一定额度,即可花费1元宝,购买超值豪华钜惠礼包!

奖励配置

l 连续尊享
活动期间内,每日充值、消费达到一定额度,即可领取豪华奖励,累计天数奖励有多个档次哦~

奖励配置

l 每日累消
活动期间内,每日累计消费达到一定额度,即可领取对应奖励,每日0点额度清空,请及时领取奖励哦~

奖励配置

l 每日消费
充活动期间内,每日消费满足一定额度,即可100%获得超值大礼一份!

奖励配置

l 充值排行
活动期间每日单服累计充值前三名,可获得充值排行奖励!每日0点结算,次日重计,奖励邮件发放。

奖励配置

l 消费排行
活动说明:活动期间每日单服累计消费前三名,可获得消费排行奖励!每日0点结算,次日重计,奖励邮件发放。

奖励配置
